
Product Hunt — The best new products, every day
shared a link post in group #Product Hunt

www.producthunt.com
Drakon - Free online diagram software: flowcharts, mind maps, etc | Product Hunt
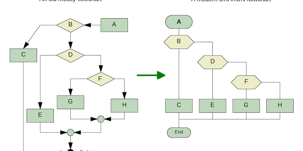
DRAKON is a visual language from the aerospace industry for representing algorithms, processes, and procedures. The goal of DRAKON is to make procedures easy to comprehend.
